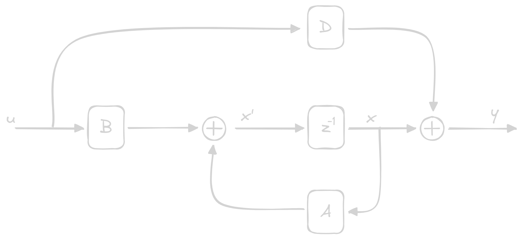
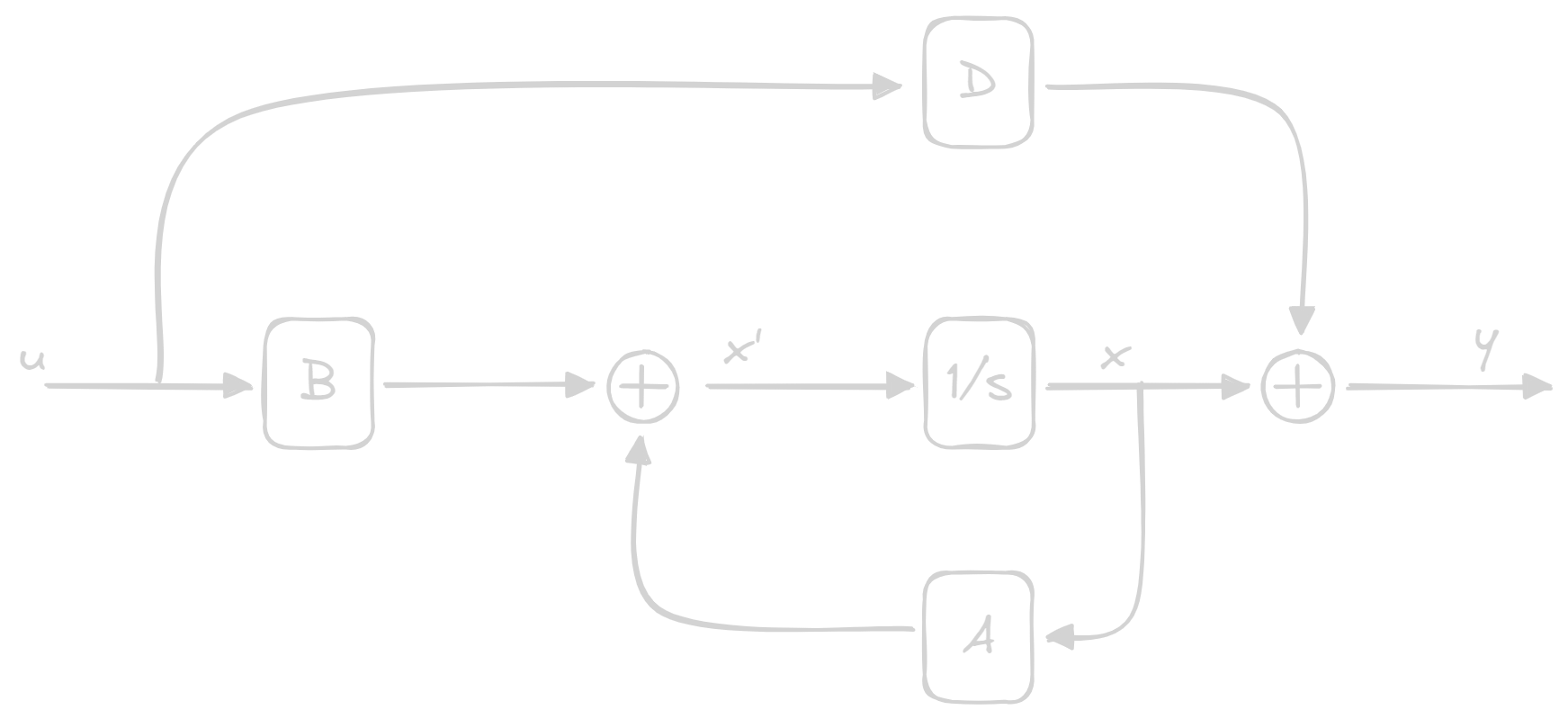
# Modern Control Normally speaking, we know much about classical control, in the form of: $$ \dot{x}(t) = ax(t) + bu(t) \longleftrightarrow sX(s) - x(0) = aX(S) + bU(s) $$ With the left part being a derivative equation in continuous time, while the right being its tranformation in the complex domain field. > [!NOTE] > > $$ > \dot{x}(t) = ax(t) + bu(t) \longleftrightarrow x(k+1) = ax(k) + bu(k) > $$ > > These are equivalent, but the latter one is in discrete time. > ## A brief recap over Classical Control Be $Y(s)$ our `output variable` in `classical control` and $U(s)$ our `input variable`. The associated `transfer function` $G(s)$ is: $$ G(s) = \frac{Y(s)}{U(s)} $$ ### Root Locus ### Bode Diagram ### Nyquist Diagram ## State Space Representation ### State Matrices A state space representation has 4 Matrices: $A, B, C, D$ with coefficients in $\R$: - $A$: State Matrix `[x_rows, x_columns]` - $B$: Input Matrix `[x_rows, u_columns]` - $C$: Output Matrix `[y_rows, x_columns]` - $D$: Direct Coupling Matrix `[y_rows, u_columns]` $$ \begin{cases} \dot{x}(t) = Ax(t) + Bu(t) \;\;\;\; \text{Dynamic of the system}\\ y(t) = C{x}(t) + Du(t) \;\;\;\; \text{Static of the outputs} \end{cases} $$ This can be represented with the following diagrams: #### Continuous Time: ![continuous state space diagram](..\Images\Modern-Control\state-space-time.png) --- #### Discrete time: ![discrete state space diagram](..\Images\Modern-Control\state-space-discrete.png) ### State Vector This is a state vector `[x_rows, 1]`: $$ x(t) = \begin{bmatrix} x_1(t)\\ \dots\\ x_x(t) \end{bmatrix} \text{or} \: x(k) = \begin{bmatrix} x_1(k)\\ \dots\\ x_x(k) \end{bmatrix} $$ Basically, from this we can know each next step of the state vector, represented as: $$ x(k + 1) = f\left( x(k), u(k) \right) = Ax(k) + Bu(k) $$ ### Examples #### Cart attached to a spring and a damper, pulled by a force ![cart being pulled image](../Images/Modern-Control/cart-pulled.png) ##### Formulas - Spring: $\vec{F} = -k\vec{x}$ - Fluid Damper: $\vec{F_D} = -b \vec{\dot{x}}$ - Initial Force: $\vec{F_p}(t) = \vec{F_p}(t)$ - Total Force: $m \vec{\ddot{x}}(t) = \vec{F_p}(t) -b \vec{\dot{x}} -k\vec{x}$ > [!TIP] > > A rule of thumb is to have as many variables in our state as the max number > of derivatives we encounter. In this case `2` > > Solve the equation for the highest derivative order > > Then, put all variables equal to the previous one derivated: > > $$ x(t) = \begin{bmatrix} x_1(t)\\ x_2(t) = \dot{x_1}(t)\\ \dots\\ x_n(t) = \dot{x}_{n-1}(t) \end{bmatrix} \; \dot{x}(t) = \begin{bmatrix} \dot{x_1}(t) = x_2(t)\\ \dot{x_2}(t) = x_3(t)\\ \dots\\ \dot{x}_{n-1}(t) = \dot{x}_{n}(t)\\ \dot{x}_{n}(t) = \text{our formula} \end{bmatrix} > $$ > Now in our state we may express `position` and `speed`, while in our `next_state` we'll have `speed` and `acceleration`: $$ x(t) = \begin{bmatrix} x_1(t)\\ x_2(t) = \dot{x_1}(t) \end{bmatrix} \; \dot{x}(t) = \begin{bmatrix} \dot{x_1}(t) = x_2(t)\\ \dot{x_2}(t) = \ddot{x_1}(t) \end{bmatrix} $$ Our new state is then: $$ \begin{cases} \dot{x}_1(t) = x_2(t)\\ \dot{x}_2(t) = \frac{1}{m} \left( \vec{F}(t) - b x_2(t) - kx_1(t) \right) \end{cases} $$ let's say we only want to check for the `position` and `speed` of the system, our State Space will be: $$ A = \begin{bmatrix} 0 & 1 \\ - \frac{k}{m} & - \frac{b}{m} \\ \end{bmatrix} B = \begin{bmatrix} 0 \\ \frac{1}{m} \\ \end{bmatrix} C = \begin{bmatrix} 1 & 0 \\ 0 & 1 \end{bmatrix} D = \begin{bmatrix} 0 \end{bmatrix} $$ let's say we only want to check for the `position` of the system, our State Space will be: $$ A = \begin{bmatrix} 0 & 1 \\ - \frac{k}{m} & - \frac{b}{m} \\ \end{bmatrix} B = \begin{bmatrix} 0 \\ \frac{1}{m} \\ \end{bmatrix} C = \begin{bmatrix} 1 & 0 \end{bmatrix} D = \begin{bmatrix} 0 \end{bmatrix} $$ > [!TIP] > In order to being able to plot the $\vec{x}$ against the time, you need to > multiply $\vec{\dot{x}}$ for the `time_step` and then add it to the state[^so-how-to-plot-ssr] > ### Horner Factorization let's say you have a complete polynomial of order `n`, you can factorize in this way: $$ \begin{align*} p(s) &= s^5 + 4s^4 + 5s^3 + 2s^2 + 10s + 1 =\\ &= s ( s^4 + 4s^3 + 5s^2 + 2s + 10) + 1 = \\ &= s ( s (s^3 + 4s^2 + 5s + 2) + 10) + 1 = \\ &= s ( s (s (s^2 + 4s + 5) + 2) + 10) + 1 = \\ &= s ( s (s ( s (s + 4) + 5) + 2) + 10) + 1 \end{align*} $$ If you were to take each s with the corresponding number in the parenthesis, you'll make this block: ![horner factorization to diagram block](../Images/Modern-Control/horner-factorization.png) ### Case Studies - PAGERANK - Congestion Control - Video Player Control - Deep Learning [^so-how-to-plot-ssr]: [Stack Exchange | How to plot state space variables against time on unit step input? | 05 January 2025 ](https://electronics.stackexchange.com/questions/307227/how-to-plot-state-space-variables-against-time-on-unit-step-input)